Diameter of Binary Tree - LeetCode
Can you solve this real interview question? Diameter of Binary Tree - Given the root of a binary tree, return the length of the diameter of the tree. The diameter of a binary tree is the length of the longest path between any two nodes in a tree. This path
leetcode.com
< 문제 간단설명 >
diameter를 직역하면 지름이라는 뜻인데... 이 문제에서 지름을 반환하면 된다(?).
문제에서 나타내는 diameter란 트리내에서 임의로 어떤 노드 두개를 선택했을 때의 그 사이가 가장 긴 거리를 나타낸다.

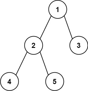
위와 같은 트리가 주어졌을 때, 여기서의 diameter는 4(or 5) -> 2 -> 1 -> 3을 나타낸다. 혹은 거꾸로도 가능하다.
/**
* Definition for a binary tree node.
* function TreeNode(val, left, right) {
* this.val = (val===undefined ? 0 : val)
* this.left = (left===undefined ? null : left)
* this.right = (right===undefined ? null : right)
* }
*/
/**
* @param {TreeNode} root
* @return {number}
*/
var diameterOfBinaryTree = function(root) {
let max = 0;
const DFS = (node) => {
if(node === null) {
return 0;
}
let left = DFS(node.left);
let right = DFS(node.right);
// 왼쪽 subtree와 오른쪽 subtree중 더 depth가 큰 것
max = Math.max(max, left + right);
return Math.max(left, right) + 1;
}
DFS(root);
return max;
};'PS > LeetCode' 카테고리의 다른 글
| LeetCode / Binary Search / 74번 / Search a 2D Matrix / JS (0) | 2023.04.28 |
|---|---|
| LeetCode / Tree / 437번 / Path Sum III / JS (0) | 2023.04.28 |
| LeetCode / Tree / 110번 / Balanced Binary Tree / JS (0) | 2023.04.28 |
| LeetCode / Tree / 226번 / Invert Binary Tree / JS (0) | 2023.04.28 |