깊이 우선 탐색이란 목표한 노드를 찾기 위해 가장 우선순위가 높은 노드의 자식으로 깊이 들어갔다가 목표 노드가 존재하지 않으면 처음 방문한 노드와 연결된 다른 노드부터 그 자식 노드로 파고드는 검색 방법을 말합니다.

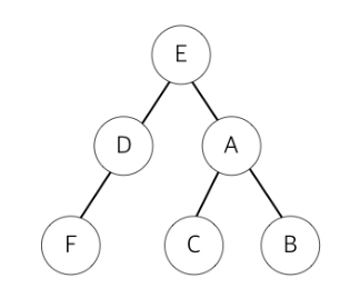
다음과 같이 리스트 형태로 노드들의 연결 관계가 주어진다고 할 때 깊이 우선 탐색으로 이 노드들을 탐색했을 때의 순서를 공백으로 구분하여 출력하세요.

/**
* 깊이 우선 탐색
* @param {Object} graph 리스트 형태로 노드들의 연결 관계가 담긴 오브젝트
* @param {String} start 출발 노드(= 최상위 노드)
* @returns {String} DFS 방법으로 탐색했을 때의 거치는 노드 순서
*/
function DFS(graph, start) {
let queue = [start];
let visited = [];
while (queue.length !== 0) {
let node = queue.shift();
if (!visited.includes(node)) {
visited.push(node);
let sub = graph[node].filter((el) => !visited.includes(el));
queue = [...sub, ...queue];
}
}
return visited.join(" ");
}
const graph = {
E: ["D", "A"],
F: ["D"],
A: ["E", "C", "B"],
B: ["A"],
C: ["A"],
D: ["E", "F"],
};
const result = DFS(graph, "E");
console.log(result);'PS > 제코베 JS 100제' 카테고리의 다른 글
| 제코베 JS 100제 / 73 / 최단 경로 찾기 (0) | 2022.09.19 |
|---|---|
| 제코베 JS 100제 / 72 / 너비 우선 탐색 (0) | 2022.09.13 |
| 제코베 JS 100제 / 70 / 행렬 곱하기 (0) | 2022.09.09 |
| 제코베 JS 100제 / 69 / 골드바흐의 추측 (0) | 2022.09.09 |