너비 우선 탐색이란 어떤 노드를 방문하여 확인한 후, 목표한 노드가 아니면 그 노드와 연결된 정점들 중에서 우선순위가 동일한 다른 노드를 찾고 그 순위에 없으면 그다음 순위 노드를 차례대로 찾는 방법이다.

다음과 같이 입력이 주어질 때 너비 우선 탐색을 한 순서대로 노드의 인덱스를 공백 구분으로 출력하세요.

/**
* 너비 우선 탐색
* @param {Object} graph 리스트 형태로 노드들의 연결 관계가 담긴 오브젝트
* @param {String} start 출발 노드(= 최상위 노드)
* @returns 너비 우선 탐색을 한 순서대로 노드의 인덱스를 공백으로 구분하여 리턴
*/
function BFS(graph, start) {
const queue = [start];
const visited = [];
while (queue.length !== 0) {
const node = queue.shift();
if (!visited.includes(node)) {
visited.push(node);
let sub = graph[node].filter((el) => !visited.includes(el));
queue.push(...sub);
}
}
return visited.join(" ");
}
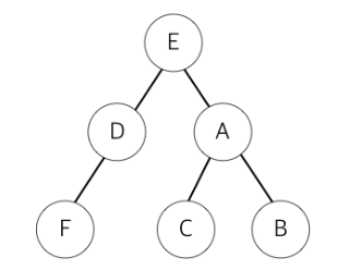
const graph = {
E: ["D", "A"],
F: ["D"],
A: ["E", "C", "B"],
B: ["A"],
C: ["A"],
D: ["E", "F"],
};
const result = BFS(graph, "E");
console.log(result);
'PS > 제코베 JS 100제' 카테고리의 다른 글
| 제코베 JS 100제 / 74 / 최장 경로 찾기 (0) | 2022.09.21 |
|---|---|
| 제코베 JS 100제 / 73 / 최단 경로 찾기 (0) | 2022.09.19 |
| 제코베 JS 100제 / 71 / 깊이 우선 탐색 (1) | 2022.09.13 |
| 제코베 JS 100제 / 70 / 행렬 곱하기 (0) | 2022.09.09 |